
רגע מכריע במאבק של אריה דרעי מול אלי ישי על ליבו של מרן הראשון לציון הרב עובדיה יוסף, נרשם בשבוע שעבר. בפני הרב עובדיה הוצג סקר דרמטי שעוסק בתדמית הציבורית של ישי ודרעי, ובו פערים גדולים בין שני היריבים.
את הסקר ערך מכון 'דחף' בראשות ד"ר מינה צמח, והוא הוזמן על-ידי אנשי דרעי. לאחר שהרב עובדיה נחשף לנתונים, התקבלה ההחלטה הדרמטית: דרעי חוזר להנהגת תנועת ש"ס.
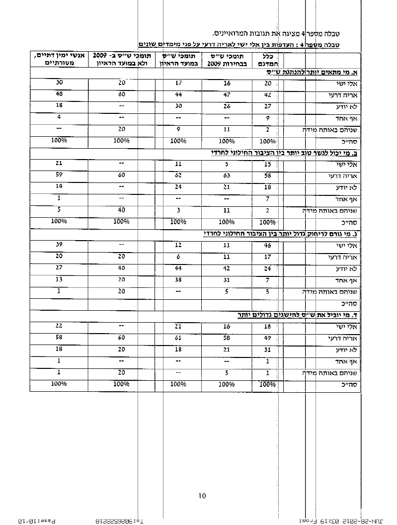
מנתוני הסקר שהגיעו לידי "כיכר השבת" ונחשפים בזאת לראשונה עולה כי רוב הציבור רואה באריה דרעי דמות שיכולה לגשר בין חרדים לחילונים.
המשתתפים בסקר נשאלו: מי מתאים יותר להנהיג את ש"ס?
מתוך כלל מצביעי המפלגות אמרו 20 אחוזים מהמשיבים כי אלי ישי ראוי, 42 אחוזים השיבו אריה דרעי, 29 אחוז אמרו כי אינם יודעים, 9 אחוזים אמרו "אף אחד מבין השניים", ו-2 אחוזים אחוזים השיבו "שניהם באותה מידה".
מבין מצביעי ש"ס בשנת 2009: 16 אחוזים השיבו אלי ישי, 47 אחוזים - אריה דרעי, 26 אחוזים לא השיבו ו-11 אחוזים השיבו: שניהם.
מבין תומכי ש"ס בזמן הראיון (מצביעי ש"ס חדשים שב-2009 לא הצביעו לתנועה): 17 אחוזים השיבו אלי ישי, 44 אחוזים - אריה דרעי, 30 אחוזים לא ידעו להשיב ו-9 אחוז השיבו שניהם באותה מידה.
מבין תומכי ש"ס בשנת 2009 ולא בזמן הראיון (מצביעי ש"ס שעברו למפלגות אחרות מאז הבחירות האחרונות): 20 אחוזים - אלי ישי, 60 אחוזים - אריה דרעי, ו-20 אחוזים - שניהם באותה מידה.
מבין אנשי הימין המסורתיים והדתיים: 30 אחוזים - אלי ישי, 48 אחוזים - אריה דרעי, 18 אחוז לא ידעו לענות, ו-4 אחוז השיבו ששניהם לא מתאימים.
בהמשך הסקר נשאלו הנסקרים מי יכול יותר לגשר בין הציבור החילוני לחרדי?
מבין כלל מצביעי המפלגות השיבו 15 אחוז - אלי ישי, 58 אחוזים - אריה דרעי. מבין תומכי ש"ס בשנת 2009 אך לא בזמן הראיון: אף אחד לא חושב שאלי ישי יכול לגשר, לעומת 60 אחוז שחושבים שדרעי כן יכול לגשר בין החרדים לחילונים.
כשהנסקרים נשאלו מי גורם לריחוק גדול יותר בין הציבור החילוני לחרדי עולה כי 46 אחוז מבין מצביעי כלל המפלגות חושבים כי אלי ישי הוא הגורם, לעומת 17 אחוזים בלבד שחושבים שדרעי הוא הגורם.
המשתתפים נשאלו בסקר מי יוביל את ש"ס להישגים גדולים יותר. מבין כלל מצביעי המפלגות השיבו 18 אחוזים - אלי ישי, 49 אחוזים חשבו שאריה דרעי יוביל. מבין תומכי ש"ס בבחירות 2009: 16 אחוזים - אלי ישי, 58 אחוזים - אריה דרעי, מבין תומכי ש"ס בזמן הראיון: 21 אחוזים - אלי ישי, 61 אחוזים - אריה דרעי. מבין תומכי ש"ס בבחירות 2009 אך לא בזמן הראיון: 60 אחוזים חושבים שאריה דרעי יביא הישגים לעומת 0 אחוז לטובת אלי ישי.

בקטע אחר מתוך הסקר, עוסקים במספר המנדטים של ש"ס בראשות דרעי או מפלגה עצמאית של דרעי.
מתוך הסקר עולה כי תנועת ש"ס בראשות אריה דרעי תזכה ל-13 עד 14 מנדטים, מפלגה בראשות דרעי 7 עד 8 מנדטים, ש"ס ללא דרעי תזכה רק ב-4 מנדטים. קטעים נוספים מהסקר המלא מצורפים בתחתית הכתבה.
בתוך כך, הבוקר (רביעי) פרסמו ב'גלי צה"ל' הקלטה ישנה של אלי ישי מלפני שלוש עשרה שנה כאשר נכנס לתפקידו, אז נשמע ישי אומר: "אתה הרב אריה דרעי התחלת את המהפכה ותמשיך את המהפכה בעזרת ה'. מורי ורבותי אני אומר לכם, כל מי שמנסה לבא ולמר 'הוא אוהב את אריה דרעי, הוא שונא את אריה דרעי', אהבתי את הרב אריה דרעי היא כמו אהבתכם אל אריה דרעי".
כשנשאל אז לפני 13 שנה על ידי רזי ברקאי, "האם אתה רואה את עצמיך כמי שהופקד בידיו פקדון זמני?", ענה ישי: "בשמחה רבה, שאריה דרעי יבא ויקח את ראשות התנועה, לא זה מה שאני מחפש".
כאמור, תומכיו של דרעי יודעים היטב כי אהבתו של מרן הרב עובדיה לאלי ישי, והאמון המלא שיש לרב בישי, צפוי להשפיע על כל החלטה של הרב עובדיה יוסף.
המגעים נמשכים
בנתיים בבית הרב המגעים נמצאים לקראת סיום. ל'כיכר השבת' נודע כי ברגע האחרון, הוצע לישי ולדרעי פשרה ולפיה תפקיד יושב-ראש ש"ס יבוטל.
הערכות בבית הרב כי הצדדים יגיעו להבנות עוד בשעות הצהריים, שיובילו להודעה רשמית על ההחלטה עוד הערב, זאת כמובן לאחר האישור של מרן הרב עובדיה יוסף.
עוד נודע כי בשעות האחרונות הגיע אריה דרעי למעונו של הרב עובדיה יוסף ונועד עימו, אלי ישי נפכש בשעה זו עם הרב משה יוסף כדי לנסות ולסגור את הפרטים האחרונים. הרב מנסה להגיע להבנות בין דרעי וישי ולצאת לדרך חדשה, דרך שש"ס תצא אליה בבחירות הקרובות באחדות.
באשר לכינוס מועצת חכמי התורה, חברי המועצת טרם קבלו הזמנה לישיבה שכזו, ובבית הרב עלתה היום הצעה שלא לכנס את המועצת, אלא לאחר שהשניים יגיעו להבנות עם הרב, תתקיים הצבעה טלפונית דרך הטלפון בין חברי מועצת חכמי התורה במקום התכנסות החכמים.
הצעה נוספת שעלתה היא שכל חברי מועצת חכמי התורה ישתתפו בשיעורו השבועי של הרב עובדיה יוסף במוצאי-שבת המועבר בלווין, שם תוכרז האחדות בהנהגת ש"ס.
יצויין כי במידה ומועצת חכמי התורה תתכנס בסופו של דבר, דרעי וישי צפויים להשתתף בכינוס המועצת.
במידה והכל יבוצע כפי המתוכנן, יצא רפאל פנחסי, מזכיר מועצת חכמי התורה, אל התקשורת ויקריא את ההחלטה של מרן הרב עובדיה יוסף ומועצת חכמי התורה.
באשר לניסיון לבטל את תפקיד יו"ר ש"ס, גם אריה דרעי עצמו נשמע מפוייס ופשרן יותר, בראיון בלעדי שהעניק אמש לעיתונאי אבישי בן חיים בערוץ 10 אמר דרעי: "אני בבחירות הקרובות, אני מעוניין ורוצה לעמוד בראשות תנועה", מה שמסמל כי גם דרעי הפסיק להצהיר שבלי יו"ר הוא לא יכנס לש"ס, אלא רק מעוניין בתפקיד אך יסכים לפשרה בנושא.










0 תגובות